学校要闻
【喜讯】学校学子在第十六届蓝桥杯全国软件和信息技术专业人才大赛电子类广东赛区斩获118项奖项
发布时间: 2025-05-26
浏览次数: 2516次
发布部门: 电子信息工程学院
撰稿:冯立滨
摄影:龙华金
初审:王瑶
复审:崔磊
终审:司玉娟
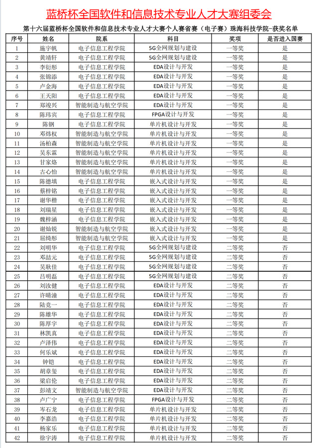
近期,第十六届蓝桥杯全国软件和信息技术专业人才大赛电子类广东赛区获奖名单新鲜出炉。我校参赛学子在此次大赛中大放异彩,经过激烈角逐,共揽获省级奖项118项,其中一等奖21项、二等奖45项、三等奖52项,创下我校在此项赛事获奖数量的历史新高,成绩斐然,令人瞩目。
本届蓝桥杯大赛规模空前,在全国高校设有电子类线下赛点450个,吸引了包括北京大学、清华大学、复旦大学、上海交通大学、西安交通大学等在内的2000多所国内高校的25万名选手参赛。同时,新加坡国立大学、哥本哈根大学、伊利诺伊大学厄巴纳-香槟分校等多所海外知名高校的选手也通过线上方式同步参与竞技,赛事规模与影响力持续攀升,再创新高,充分彰显了该赛事在国内外的广泛认可度与吸引力。
电子信息工程学院对本次大赛高度重视,积极筹备并承办省赛赛点的各项事宜。学院精心组织、广泛宣传、积极动员,吸引了来自电子信息工程学院、计算机学院、智能制造与航空学院等学院的学生踊跃报名参赛,营造了浓厚的参赛氛围。为提升参赛选手的竞技水平,学院组织教师团队利用寒假和周末时间,悉心开展模拟训练,帮助学生拓宽知识面,有效提高了解决问题的能力。同时,学院积极协调场地等资源,全力确保省赛赛点的顺利举办,为赛事的圆满完成提供了坚实保障。
此次比赛取得的优异成绩,充分展现了我校以大学生竞赛为项目驱动,积极探索创新教学模式,有力地促进了课程的不断改革与创新,显著提升了学生的科研学术水平和工程实践能力,为构建完善的创新创业教育体系奠定了坚实基础。接下来,获得一等奖的选手将代表学校参加全国总决赛,向蓝桥杯的最高奖项发起冲击。我们满怀期待他们在全国赛场上再创佳绩,充分展现开云手机站·官方版在线学子的卓越风采。展望未来,我校将继续以各类学科竞赛为契机,不断深化教育教学改革,致力于培养更多具有创新精神和实践能力的高素质人才,为推动学校高质量发展注入源源不断的动力,贡献更多坚实力量。

省赛现场



获奖名单


